El passat dimecres 7 de març de 2012 a l’Aula Magna de la Facultat de Ciències de la Universitat de Girona vam poder escoltar la conferència titulada “Dones químiques excepcionals“, a càrrec de la Dra. Pilar González Duarte, Catedràtica de Química Inorgànica de la Universitat Autònoma de Barcelona. La conferència va ser una bona excusa per celebrar el dia de la dona treballadora a la Facultat de Ciències. A la conferència es va parlar de les dificultats que van haver de les superar dones científiques de principis del S. XX, entre les que destaca sense dubte per les seves contribucions i la seva personalitat, la polonesa Marie Sklodowska-Curie. La Dra. González també es va referir a quatre altres dones que van fer contribucions científiques molt rellevants en el camp de la radioactivitat (Lise Meitner), de la cristal•lografia (Rosalind Franklin i Dorothy Hodgkin) i de la bioquímica (Gerti Cori). En tots els casos a la dificultat intrínseca de la pràctica científica, per aquestes dones s’hi va afegir la indifèrencia en el millor dels casos i l’oposició directa en d’altres dels seus col·legues masculins.

Figura 1. Rosalind Franklin va ser tractada molt injustament pel que fa al reconeixement a la seva gran contribució a la determinació de l'estructura molecular en forma de la doble hèlix del DNA.
Doncs bé, pocs dies després veig que a la revista Accounts of Chemical Research es publica un article titulat “Critical Perspective: Named Reactions Discovered and Developed by Women” on es fa un repàs dels noms de les reaccions que porten el nom d’alguna dona. Sorprèn que del gran número de reaccions que porten el nom d’algun/a químic/a només quatre portin el nom d’una dona. Aquestes quatre reaccions de fet corresponen a tres dones que són:
- Irma Goldberg, nascuda a Moscú el 1871, estudia química a Ginebra i el 1890 s’ajunta al grup del Prof. Fritz Ullmann amb qui més endavant es casarà. El seu nom apareix a la reacció de Goldberg, una reacció d’acoblament entre una amina aromàtica i un halur d’aril. Aquesta reacció és l’única que té un nom associat exclusivament a una dona. Una altra reacció que porta el seu nom és la reacció de Jourdan-Ullman-Goldberg que torna a ser una reacció d’acoblament però ara entre una amida aromàtica i un halur d’aril.

Figura 2. Exemple de reacció de Goldberg. L'única reacció amb un nom que fa referència exclusivament a una dona.
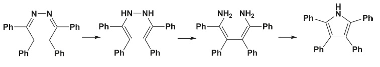
- Gertrude Maud Walsh, nascuda al 1886, estudia a la Universitat de Manchester i quan acaba els estudis entra a treballar en el laboratori del Prof. Weizmann. Posteriorment es casa amb Robert Robinson el 1912 i tots dos desenvolupen una reacció que havia iniciat Piloty per la síntesi d’anells pírrolics a partir de cetazines. Es l’anomenada reacció de Piloty-Robinson que involucra tres pasos, el primer el pas d’imina a enamina, el segon un canvi sigmatròpic [3,3] i el tercer una eliminació d’amoníac.
- Cläre Hunsdiecker, nascuda a Kiel l’any 1903, va fer la seva tesi doctoral a la Universitat de Colònia. L’any 1931 es va casar amb Heinz Hunsdiecker i conjuntament van desenvolpar l’anomenada reacció de Hunsdiecker que permet la descarboxilació de carboxilats de plata per donar halurs d’alquil.
Aquestes tres dones mereixerien també sens dubte el qualificatiu de “Dones químiques excepcionals” de la conferència de la Dra. González.
Per acabar dir que els autors de l’article també troben que hi ha onze dones darrera el descobriment de nou reaccions que porten el nom d’homes que en la major part dels casos són els caps del laboratori on treballaven o els seus directors de tesi o postdoc. Entre aquestes reaccions n’hi ha de tan famoses com la transposició de Cope (res a veure amb la COPE) o l’alquilació asimètrica de Myers.
Esperem que en el futur es descobreixin noves reaccions i que un bon número d’aquestes portin nom de dona, i posats a demanar si és d’una dona catalana encara millor!






Pilar González Duarte
20/03/2012
M’ha agradat molt llegir la ressenya de la conferència i la informació de reaccions químiques amb noms de dona…
De fet només en el cas de Irma Goldberg, es manté el seu nom quan s’anomena la reacció. En els altres dos casos, el nom prové dels dos membres de la parella: “família” Robinson i “família” Hundsdiecker… el que permet fàcilment que s’atribueixi exclusivament a l’home.
En prenc nota de la informació!!!
Moltes gràcies!!!
miquelsola
20/03/2012
Tens tota la raó, només la reacció de Goldberg fa honor exclusiu a una dona. Es evident que fins a finals del S. XX la feina feta per les dones ha estat invisible i ha tingut un reconeixment molt per sota del que seria raonable. Sembla que això ha canviat definitivament, com a mínim en els països del primer món, però caldrà estar amatents.